Free Access

Fig. 11

thumbnail

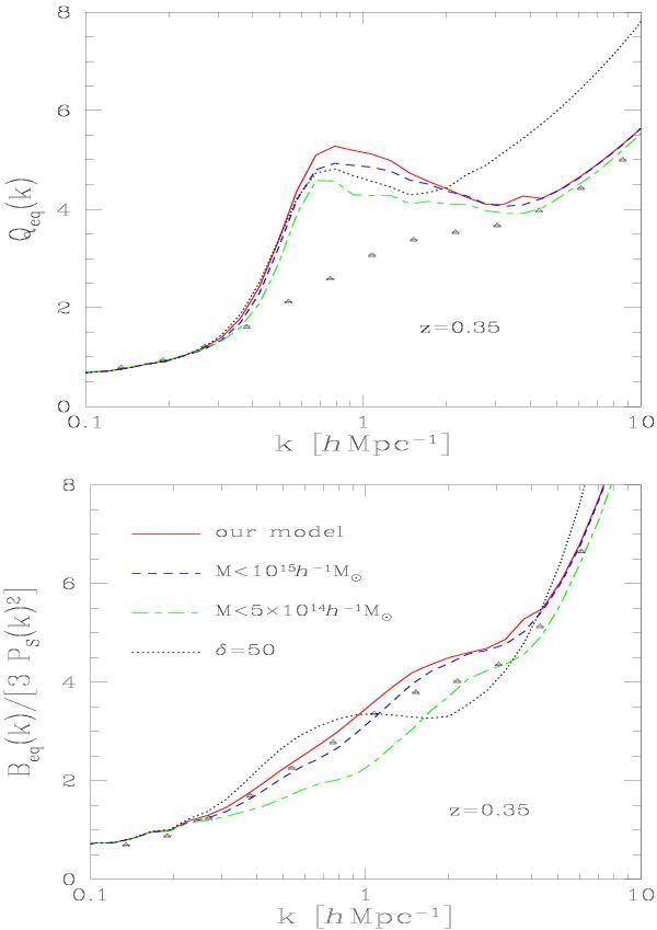
Reduced bispectrum (upper panel, as in Fig. 8) and the bispectrum scaled by 3PS(k)2 (lower panel, as in the upper row of Fig. 10) obtained for modified halo properties on equilateral triangles at z = 0.35. We plot our fiducial model (red solid line, as in previous figures), the impact of a high mass cutoff (M < 1015 h-1 M, blue dashed line; M < 5  ×  1014 h-1 M, green dot-dashed line), and the effect of defining halos by the lower nonlinear density threshold δ = 50 (black dotted line).

This figure is made of several images, please see below:

Current usage metrics show cumulative count of Article Views (full-text article views including HTML views, PDF and ePub downloads, according to the available data) and Abstracts Views on Vision4Press platform.

Data correspond to usage on the plateform after 2015. The current usage metrics is available 48-96 hours after online publication and is updated daily on week days.

Initial download of the metrics may take a while.