Free Access

Fig. 5

thumbnail

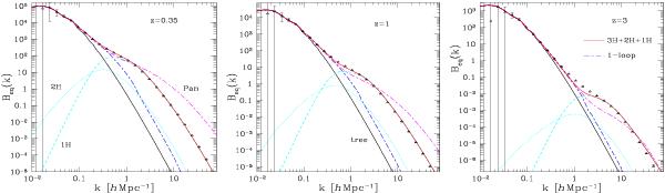
Bispectrum Beq(k) = B(k,k,k) for equilateral configurations, at redshifts z = 0.35,1, and 3. The symbols are the results from the numerical simulations. We show the bispectrum obtained at tree order (black solid line), standard 1-loop order (blue dot-dashed line), using the full model (red solid line), as well as the 2-halo (cyan dotted line) and 1-halo (cyan dashed line) contributions. The magenta dot-dashed line labeled “Pan” is the phenomenological model of Pan et al. (2007).

This figure is made of several images, please see below:

Current usage metrics show cumulative count of Article Views (full-text article views including HTML views, PDF and ePub downloads, according to the available data) and Abstracts Views on Vision4Press platform.

Data correspond to usage on the plateform after 2015. The current usage metrics is available 48-96 hours after online publication and is updated daily on week days.

Initial download of the metrics may take a while.