Free Access

Fig. 9

thumbnail

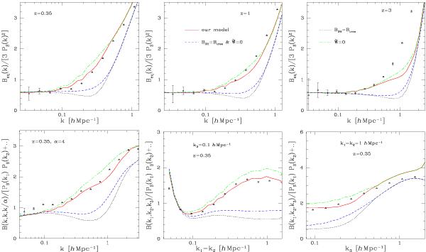
Ratio B(k1,k2,k3)/ [PS(k1)PS(k2) + 2cyc.] , where PS(k) is the fit to the power spectrum from Smith et al. (2003). The red solid line is our model, as in Figs. 5 to 8, the black dotted line is the approximation B3H = Btree, the green dot-dashed line corresponds to no counterterms in the 1-halo and 2-halo contributions (), and the blue dashed line makes both approximations. Upper row: equilateral configurations, at redshifts z = 0.35,1, and 3, as in Fig. 5. Lower row: various isosceles configurations at redshift z = 0.35, as in left panels of Figs. 6 and 7.

This figure is made of several images, please see below:

Current usage metrics show cumulative count of Article Views (full-text article views including HTML views, PDF and ePub downloads, according to the available data) and Abstracts Views on Vision4Press platform.

Data correspond to usage on the plateform after 2015. The current usage metrics is available 48-96 hours after online publication and is updated daily on week days.

Initial download of the metrics may take a while.