Free Access
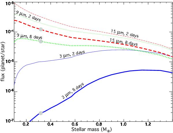
Fig. 12

Amplitude of the phase curve for an airless planet as a function of stellar mass, orbital period and wavelength. The albedo of the planet is 0.2 and the inclination is 60°. Grey circles indicate the case modeled in this paper. Stellar radii and Teff are from Baraffe et al. (1998).
Current usage metrics show cumulative count of Article Views (full-text article views including HTML views, PDF and ePub downloads, according to the available data) and Abstracts Views on Vision4Press platform.
Data correspond to usage on the plateform after 2015. The current usage metrics is available 48-96 hours after online publication and is updated daily on week days.
Initial download of the metrics may take a while.