Free Access
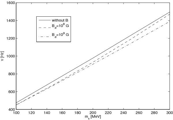
Fig. 7

Maximum spin frequencies of quark stars as a function of the mass of the strange quark. The results obtained assuming a initial poloidal magnetic field Bd = 108 G (dashed line) and Bd = 109 G (dot-dashed line) are compared to the result obtained without the internal magnetic field (solid line).
Current usage metrics show cumulative count of Article Views (full-text article views including HTML views, PDF and ePub downloads, according to the available data) and Abstracts Views on Vision4Press platform.
Data correspond to usage on the plateform after 2015. The current usage metrics is available 48-96 hours after online publication and is updated daily on week days.
Initial download of the metrics may take a while.