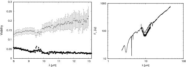
Fig. 1

Left: visibilities of NGC 2264 IRS 1 measured with MIDI. The visibility points measured in 2005 (projected baseline length 89.1 m) are shown as rectangulars, those measured in 2009 (projected baseline 40.2 m) are shown as crosses. Right: spectrum of NGC 2264 IRS 1 as measured with MIDI (black crosses) in 2005 compared to the ISO spectrum (black line).
Current usage metrics show cumulative count of Article Views (full-text article views including HTML views, PDF and ePub downloads, according to the available data) and Abstracts Views on Vision4Press platform.
Data correspond to usage on the plateform after 2015. The current usage metrics is available 48-96 hours after online publication and is updated daily on week days.
Initial download of the metrics may take a while.