Free Access

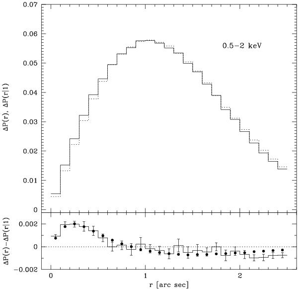
Fig. 6

thumbnail

The nearest neighbor probability distributions in the AEGIS data binned with for the observed counts (solid histogram), and between random and observed counts (dotted histogram); error bars in the lower panel show 1σ uncertainties.

Current usage metrics show cumulative count of Article Views (full-text article views including HTML views, PDF and ePub downloads, according to the available data) and Abstracts Views on Vision4Press platform.

Data correspond to usage on the plateform after 2015. The current usage metrics is available 48-96 hours after online publication and is updated daily on week days.

Initial download of the metrics may take a while.