Open Access
Fig. 12

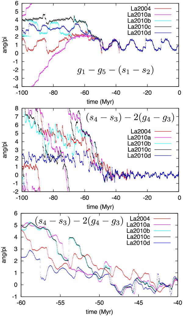
Resonant arguments (in radians versus time in Myr) σ = (g1 − g5) − (s1 − s2) (top) and θ = (s4 − s3) − 2(g4 − g3) (middle and bottom) for the different solutions La2004, La2010a,b,c,d. In the bottom plot, θ is displayed on a greater scale. One can see that the La2010 solutions are very close up to 50 Myr.
This figure is made of several images, please see below:
Current usage metrics show cumulative count of Article Views (full-text article views including HTML views, PDF and ePub downloads, according to the available data) and Abstracts Views on Vision4Press platform.
Data correspond to usage on the plateform after 2015. The current usage metrics is available 48-96 hours after online publication and is updated daily on week days.
Initial download of the metrics may take a while.