Open Access

Fig. 2

thumbnail

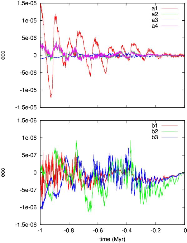
Differences in the eccentricity of the Earth-Moon barycenter over 1 Myr for various solutions as follows: a1 = La2004-INPOP08; a2 = La2010d-INPOP08; a3 =b3= La2010a – INPOP08; a4=INPOP06-INPOP08; b1 = La2010b – INPOP08; b2 = La2010c -INPOP06. We note that the vertical scale is enlarged ten times in the bottom plot. All solutions are compared to INPOP08. In the top figure, La2010d (a2) and INPOP06 (a4) are almost superimposed. This is because La2010d was adjusted over INPOP06.

Current usage metrics show cumulative count of Article Views (full-text article views including HTML views, PDF and ePub downloads, according to the available data) and Abstracts Views on Vision4Press platform.

Data correspond to usage on the plateform after 2015. The current usage metrics is available 48-96 hours after online publication and is updated daily on week days.

Initial download of the metrics may take a while.