Free Access
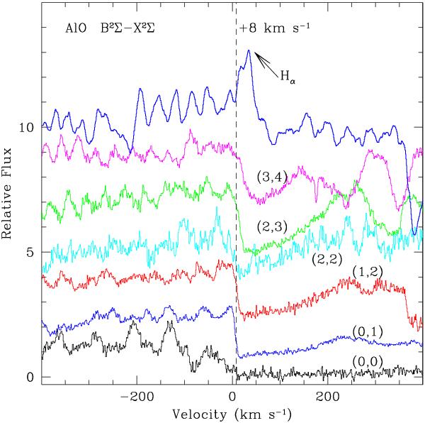
Fig. 7

Detailed view of the AlO B2Σ − X2Σ band-heads in the velocity scale (heliocentric frame). The characteristic velocity of 8 km s-1 is marked with the vertical dashed line. The Hα emission is also shown at the top of the figure.
Current usage metrics show cumulative count of Article Views (full-text article views including HTML views, PDF and ePub downloads, according to the available data) and Abstracts Views on Vision4Press platform.
Data correspond to usage on the plateform after 2015. The current usage metrics is available 48-96 hours after online publication and is updated daily on week days.
Initial download of the metrics may take a while.