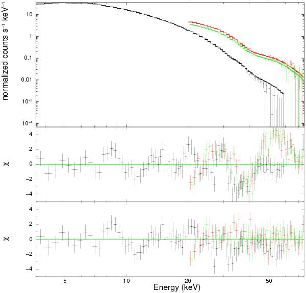
Fig. 1

Example of a spectral fit to an RXTE observation of Her X-1 in July 1996 (cycle No. 257). The observation is centered at MJD 50 290.75 and the integration time is 31 ks for PCA and 10 ks for each of the two HEXTE clusters. Black: PCA, red: HEXTE-A, and green: HEXTE-B, respectively; top: count rate spectra; middle: residuals with respect to a fit of a continuum model; bottom: residuals with respect to a fit which includes a cyclotron line.
Current usage metrics show cumulative count of Article Views (full-text article views including HTML views, PDF and ePub downloads, according to the available data) and Abstracts Views on Vision4Press platform.
Data correspond to usage on the plateform after 2015. The current usage metrics is available 48-96 hours after online publication and is updated daily on week days.
Initial download of the metrics may take a while.