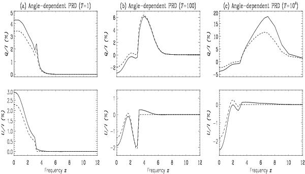
Fig. 1

Comparison of single scattered (dashed lines) and multiple scattered (solid lines) solutions computed with the angle-dependent PRD. A 1D cut-off assumption is used with xc = 3. The model parameters are (a, ϵ, r, ΓE/ΓR) = (10-3, 10-3, 0, 0) and the magnetic field parameters are (Γ, θB, χB) = (1, 30°, 0°). The line of sight is represented by μ = 0.11 and χ = 0°. Panel a) corresponds to T = 1, panel b) to T = 100, and panel c) to T = 104.
Current usage metrics show cumulative count of Article Views (full-text article views including HTML views, PDF and ePub downloads, according to the available data) and Abstracts Views on Vision4Press platform.
Data correspond to usage on the plateform after 2015. The current usage metrics is available 48-96 hours after online publication and is updated daily on week days.
Initial download of the metrics may take a while.