Free Access

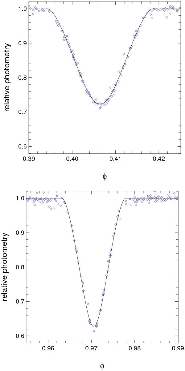
Fig. 3

thumbnail

δ Vel Aa-Ab SMEI photometric measurements (points) and fit of the eclipses (line) as a function of orbital phase: the upper panel is the the primary eclipse, the lower panel the secondary.

This figure is made of several images, please see below:

Current usage metrics show cumulative count of Article Views (full-text article views including HTML views, PDF and ePub downloads, according to the available data) and Abstracts Views on Vision4Press platform.

Data correspond to usage on the plateform after 2015. The current usage metrics is available 48-96 hours after online publication and is updated daily on week days.

Initial download of the metrics may take a while.