Free Access

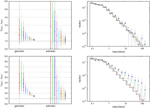
Fig. 5

thumbnail

Diagnostics of initially mass segregated star clusters with 10 k members following the prescription of Šubr et al. (2008). From top to bottom the degree of mass segregation, S, equals 0.1 and 0.3 (see text for more details). Details of the plots are given in the caption of Fig. 4.

This figure is made of several images, please see below:

Current usage metrics show cumulative count of Article Views (full-text article views including HTML views, PDF and ePub downloads, according to the available data) and Abstracts Views on Vision4Press platform.

Data correspond to usage on the plateform after 2015. The current usage metrics is available 48-96 hours after online publication and is updated daily on week days.

Initial download of the metrics may take a while.