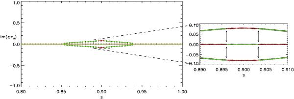
Fig. 7

The imaginary part of the sub-spectrum of the MHD continua of a cool solar prominence equilibrium with intermediate gravity (g = 0.500) as a function of the radial flux coordinate are shown for axial wavenumber k = −1 and poloidal mode numbers m = {−2,...,4}. These quantify the growth rates of the CCI instabilities. Density is assumed to be a flux function. The crosses are the PHOENIX results, while the colored lines are the results of the four-mode coupling scheme. The color red, green, blue, and yellow correspond to the dominant
,
,
, and
component of the eigenvector.
Current usage metrics show cumulative count of Article Views (full-text article views including HTML views, PDF and ePub downloads, according to the available data) and Abstracts Views on Vision4Press platform.
Data correspond to usage on the plateform after 2015. The current usage metrics is available 48-96 hours after online publication and is updated daily on week days.
Initial download of the metrics may take a while.