Free Access
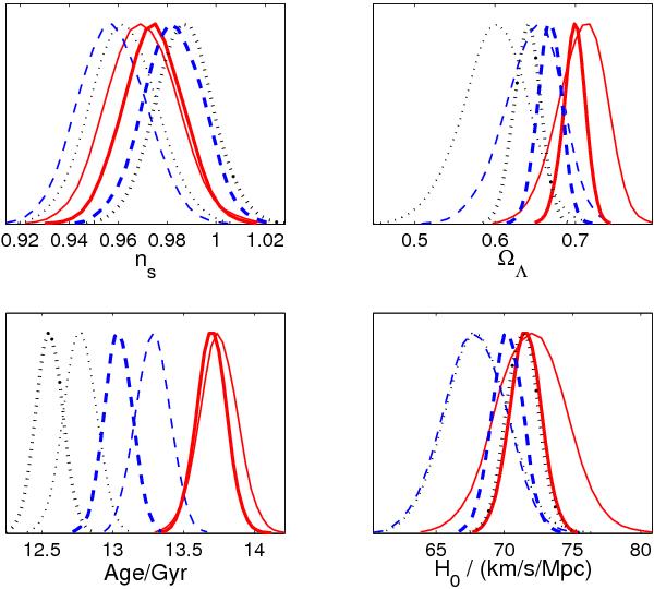
Fig. 1

Marginalized parameter distributions for ΛCDM with and without additional sterile neutrinos. Solid red lines: no sterile neutrinos. Dashed blue lines: 1 sterile neutrino. Dotted, black lines: 2 sterile neutrinos. Thin lines show results from using WMAP7 data only. Results from WMAP7++ are shown with thick lines.
Current usage metrics show cumulative count of Article Views (full-text article views including HTML views, PDF and ePub downloads, according to the available data) and Abstracts Views on Vision4Press platform.
Data correspond to usage on the plateform after 2015. The current usage metrics is available 48-96 hours after online publication and is updated daily on week days.
Initial download of the metrics may take a while.