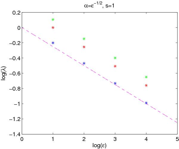
Fig. 2

Normalized frequency λ = ω/2Ω0 for four different values of ϵ (10, 100, 1000, 10 000). Here ϵ is shown on a logarithmic scale. The blue, red, and green asterisks correspond to the positive solutions of the dispersion relation Eq. (23) for the ν = 0, ν = 1, and ν = 2 harmonics (with s = 1), respectively. The dashed line corresponds to λ = ϵ − 1/4 slope. Here the ratio of Alfvén to surface speed α = vA/2Ω0R0 equals to ϵ − 1/2 as assumed in the derivation of Eq. (17).
Current usage metrics show cumulative count of Article Views (full-text article views including HTML views, PDF and ePub downloads, according to the available data) and Abstracts Views on Vision4Press platform.
Data correspond to usage on the plateform after 2015. The current usage metrics is available 48-96 hours after online publication and is updated daily on week days.
Initial download of the metrics may take a while.