Free Access
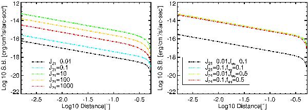
Fig. 10

Surface brightness radial profiles for different background UV fields. The left panel shows the surface brightness profiles for an escape fraction of 1%. The right panel shows the surface brightness radial profiles for escape fractions of 10% and 50%.
This figure is made of several images, please see below:
Current usage metrics show cumulative count of Article Views (full-text article views including HTML views, PDF and ePub downloads, according to the available data) and Abstracts Views on Vision4Press platform.
Data correspond to usage on the plateform after 2015. The current usage metrics is available 48-96 hours after online publication and is updated daily on week days.
Initial download of the metrics may take a while.