Free Access

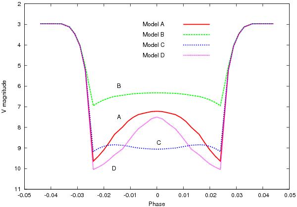
Fig. 2

thumbnail

Hypothetical total eclipse of ϵ Aur by a dark, geometrically and optically thick, edge-on disk of dust. This disk causes the total eclipse and does not transmit any light during the eclipse. Apart from this non-transparent disk our model includes optically thin dust regions of different shapes: model (A) has a spherical shell of dust, model (B) has a flat-disk region, model (C) has a flared disk, and model (D) has a sort of jet-like region. These regions scatter the light toward the observer, which is seen during the total eclipse. Because of the strong forward scattering this scattered light may be most intense in the middle of the eclipse and might give rise to a mid-eclipse brightening. See the text for more details.

Current usage metrics show cumulative count of Article Views (full-text article views including HTML views, PDF and ePub downloads, according to the available data) and Abstracts Views on Vision4Press platform.

Data correspond to usage on the plateform after 2015. The current usage metrics is available 48-96 hours after online publication and is updated daily on week days.

Initial download of the metrics may take a while.