Free Access

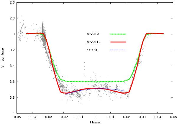
Fig. 3

thumbnail

Eclipse of ϵ Aur by a dark, geometrically thick, flared disk of dust. The disk consists of two parts: (1) the flared optically thick part that causes most of the eclipse, and (2) a flared optically thin part that causes additional absorption, scattering and mid-eclipse brightening. Model (A): disk has only one part (1). Model (B): disk has both parts part (1) and part (2). Mid-eclipse brightening arises mainly because the edges of the flared disk are more effective in the attenuation of the stellar light than the central parts of the disk. Thin dotted line is a best-fit quadratic function to the eclipse bed. Crosses - observations from AAVSO (Henden, priv. comm.).

Current usage metrics show cumulative count of Article Views (full-text article views including HTML views, PDF and ePub downloads, according to the available data) and Abstracts Views on Vision4Press platform.

Data correspond to usage on the plateform after 2015. The current usage metrics is available 48-96 hours after online publication and is updated daily on week days.

Initial download of the metrics may take a while.