Free Access

Fig. 6

thumbnail

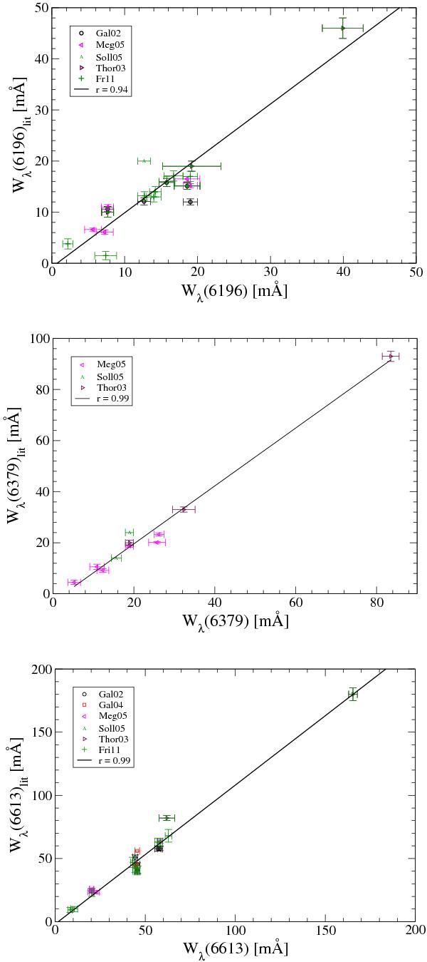
The equivalent widths of the 6196, 6379, and 6613 Å DIBs in lines-of-sight previously measured and included here are compared with the measurements obtained in this work. Literature values are taken from Herbig (1993); Seab & Snow (1995); Galazutdinov et al. (2002); Thorburn et al. (2003); Galazutdinov et al. (2004); Sollerman et al. (2005); Megier et al. (2001, 2005). Linear regressions with the corresponding correlation coefficients r are shown in each panel. Slopes and intercepts of these regressions are 1.06 and −0.8 mÅ, 1.13 and −3.1 mÅ, and 0.995 and −1.9 mÅ, for the 6196, 6379, and 6613 Å DIBs, respectively.

This figure is made of several images, please see below:

Current usage metrics show cumulative count of Article Views (full-text article views including HTML views, PDF and ePub downloads, according to the available data) and Abstracts Views on Vision4Press platform.

Data correspond to usage on the plateform after 2015. The current usage metrics is available 48-96 hours after online publication and is updated daily on week days.

Initial download of the metrics may take a while.