Free Access

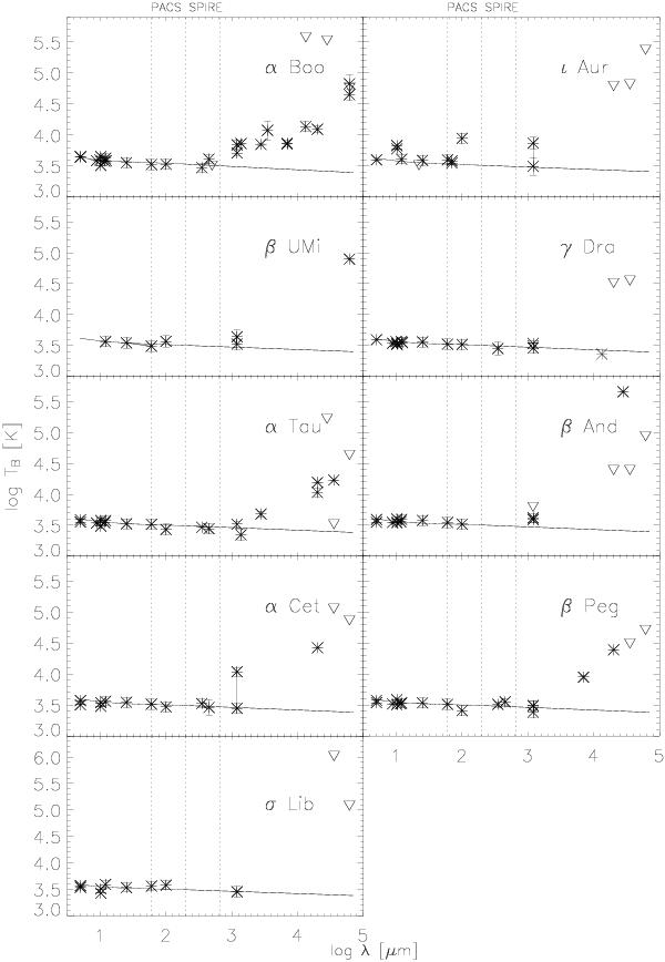
Fig. 3

thumbnail

Brightness temperature TB in function of the wavelength for the nine sample stars between 5 μm and 7 cm. The full line indicates the brightness temperatures derived from the theoretical model, the asterisks show the brightness temperatures derived from the observations. A reversed triangle represents an upper limit. The error bars on the observational data take the uncertainty on the observations and on the angular diameter into account. The PACS and SPIRE wavelength ranges are indicated by a dotted line, to facilitate comparison to the wavelength region were a flux excess is seen.

Current usage metrics show cumulative count of Article Views (full-text article views including HTML views, PDF and ePub downloads, according to the available data) and Abstracts Views on Vision4Press platform.

Data correspond to usage on the plateform after 2015. The current usage metrics is available 48-96 hours after online publication and is updated daily on week days.

Initial download of the metrics may take a while.