Free Access

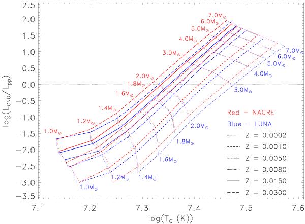
Fig. 11

thumbnail

Ratio of the CNO to pp luminosity (LCNO and Lpp) as a function of the central temperature Tc for ZAMS models of different masses, computed adopting the 14N(p, γ)15O from NACRE (red lines) and LUNA (blue lines) for the labelled chemical compositions.

Current usage metrics show cumulative count of Article Views (full-text article views including HTML views, PDF and ePub downloads, according to the available data) and Abstracts Views on Vision4Press platform.

Data correspond to usage on the plateform after 2015. The current usage metrics is available 48-96 hours after online publication and is updated daily on week days.

Initial download of the metrics may take a while.