Free Access

Fig. 3

thumbnail

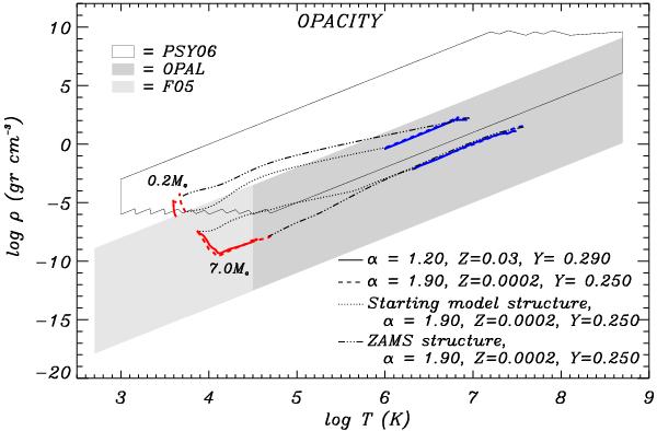
Validity domain of the radiative opacity tables (OPAL and F05, shaded area) and of the conductive ones (solid box). As in Fig. 1 we superimposed the time evolution of the bottom of the atmosphere (τph = 10) and the stellar centre for Z = 0.03 (thick solid line) and Z = 0.0002 (thick dashed line), and the whole structure for the first model on the Hayashi track (dotted line) and for the ZAMS (dot-dashed line) for Z = 0.0002.

Current usage metrics show cumulative count of Article Views (full-text article views including HTML views, PDF and ePub downloads, according to the available data) and Abstracts Views on Vision4Press platform.

Data correspond to usage on the plateform after 2015. The current usage metrics is available 48-96 hours after online publication and is updated daily on week days.

Initial download of the metrics may take a while.