Free Access

Fig. 3

thumbnail

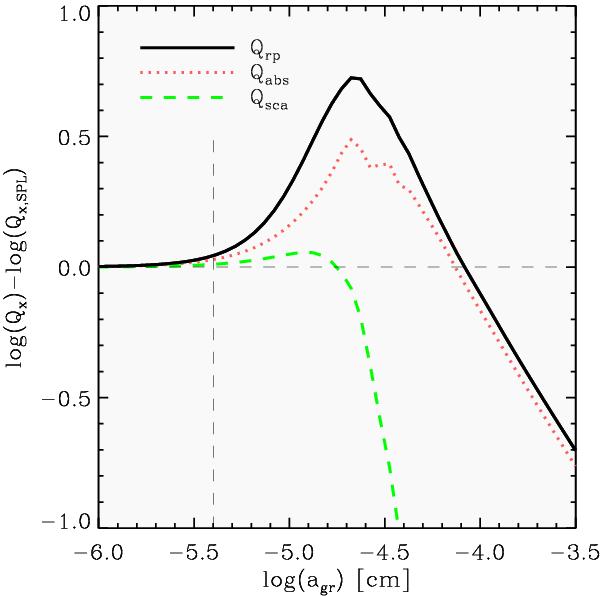
Radiative pressure efficiency factor Qrp and its components Qabs and Qsca, relative to the corresponding small-particle limit (SPL) values QSPL, as functions of grain radius at λ = 1   μm (i.e., near the stellar flux maximum). Data are given for amorphous carbon dust, taken from Rouleau & Martin (1991) and the Q’s are calculated using the Mie theory for spherical particles (programme BHMIE from Bohren & Huffman 1983, modified by Draine, www.astro.princeton.edu/draine/scattering.html). The vertical dashed line marks a grain radius of 4 × 10-6 cm where deviations in the opacity from the SPL may exceed 10% at wavelength λ = 1   μm.

Current usage metrics show cumulative count of Article Views (full-text article views including HTML views, PDF and ePub downloads, according to the available data) and Abstracts Views on Vision4Press platform.

Data correspond to usage on the plateform after 2015. The current usage metrics is available 48-96 hours after online publication and is updated daily on week days.

Initial download of the metrics may take a while.