Free Access

Fig. D.1

thumbnail

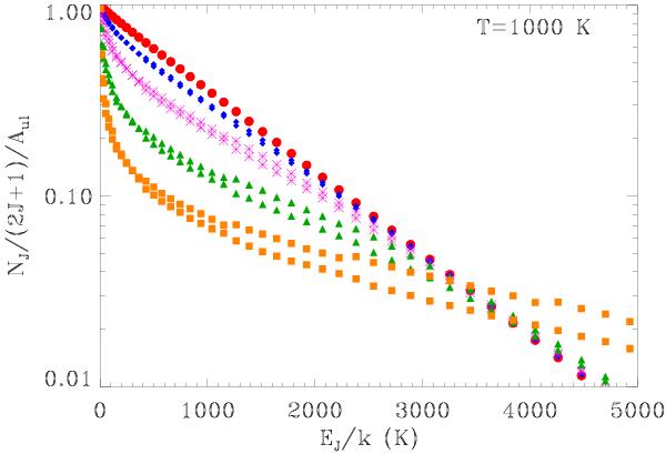
Synthetic CO v = 1−0 emission line fluxes for a 1D model with T = 1000 and log N(CO) = 16.0 (red circles), 17.0 (blue diamonds), 17.5 (purple asterisks), 18.0 (green triangles), and 19.5 (orange squares). At T = 1000 K, the lines with J′′ ~ 10 are the first to become optically-thick, thereby reducing the flux in mid-J lines relative to those with J < 3 and high-J lines.

Current usage metrics show cumulative count of Article Views (full-text article views including HTML views, PDF and ePub downloads, according to the available data) and Abstracts Views on Vision4Press platform.

Data correspond to usage on the plateform after 2015. The current usage metrics is available 48-96 hours after online publication and is updated daily on week days.

Initial download of the metrics may take a while.