Free Access

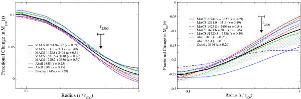
Fig. 4

thumbnail

The fractional change in gas mass and total mass with radius as a result of an extreme helium sedimentation with respect to masses produced by a uniform Anders & Grevesse (1989) helium abundance for a sample of eight relaxed clusters. The black lines correspond to the mean fractional change and the shaded are indicates the standard deviation of the fractional change in gas mass and total mass measurements.

This figure is made of several images, please see below:

Current usage metrics show cumulative count of Article Views (full-text article views including HTML views, PDF and ePub downloads, according to the available data) and Abstracts Views on Vision4Press platform.

Data correspond to usage on the plateform after 2015. The current usage metrics is available 48-96 hours after online publication and is updated daily on week days.

Initial download of the metrics may take a while.