Free Access

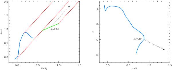
Fig. 5

thumbnail

Left panel: example of the dereddening algorithm, coded with the black dashed line, for a star with colors compatible with the reddened CTTSs locus provided by Meyer et al. (1997) (the green solid line). The blue solid line is the 2 Myr old isochrone suitable for the ONC. The red dashed lines are parallel to the reddening direction and bracket the regions occupied by the previous loci reddened by any AV. Right panel: example of the reddening algorithm for a star with NIR colors compatible with reddened photospheric colors. The blue line represents the isochrone in the (J, J − H) diagram.

Current usage metrics show cumulative count of Article Views (full-text article views including HTML views, PDF and ePub downloads, according to the available data) and Abstracts Views on Vision4Press platform.

Data correspond to usage on the plateform after 2015. The current usage metrics is available 48-96 hours after online publication and is updated daily on week days.

Initial download of the metrics may take a while.