Free Access

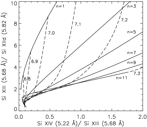
Fig. 3

thumbnail

Synthetic line ratios are functions of both n and τ. The plot shows the synthetic line ratios for parameter n = 1, 3, 5, 7, 9, 11, and the curves of constant log τ (grey numbers). The curve n = 1 represents the line ratios for the Maxwell distribution.

Current usage metrics show cumulative count of Article Views (full-text article views including HTML views, PDF and ePub downloads, according to the available data) and Abstracts Views on Vision4Press platform.

Data correspond to usage on the plateform after 2015. The current usage metrics is available 48-96 hours after online publication and is updated daily on week days.

Initial download of the metrics may take a while.