Free Access

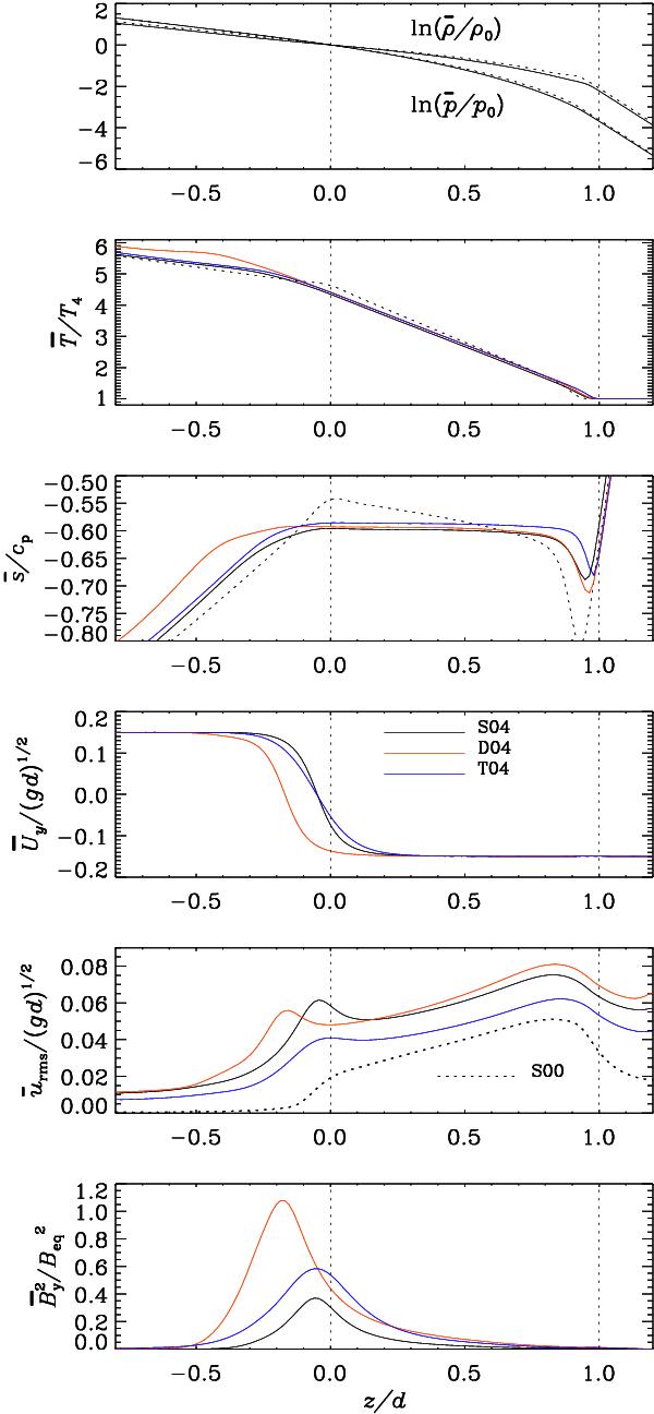
Fig. 1

thumbnail

Vertical profiles of mean density, pressure, temperature, specific entropy and azimuthal velocity () in the initial state (dotted lines) and in the thermally relaxed steady state (solid). The dotted vertical lines at z = 0 and z = d denote the bottom and top of the convectively unstable layer, respectively. The last two panels show the turbulent rms-velocity and the energy of the toroidal mean magnetic field in the saturated phase. For a better comparison, the rms-velocity profile of Run S00 has been multiplied by a factor of 2.

Current usage metrics show cumulative count of Article Views (full-text article views including HTML views, PDF and ePub downloads, according to the available data) and Abstracts Views on Vision4Press platform.

Data correspond to usage on the plateform after 2015. The current usage metrics is available 48-96 hours after online publication and is updated daily on week days.

Initial download of the metrics may take a while.