Free Access

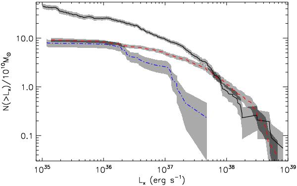
Fig. 7

thumbnail

The combined XLFs of LMXBs in different environments plotted in the cumulative form. LX is the unabsorbed X-ray luminosity in 0.5–8 keV. The contribution of CXB sources was subtracted and the incompleteness correction was applied. The field XLF (solid) is normalized to the stellar mass of 1010 M. The normalizations of GC (dashed) and M 31 nucleus (dash-dotted) XLFs are arbitrary. The shaded areas around the curves show 1σ statistical uncertainty.

Current usage metrics show cumulative count of Article Views (full-text article views including HTML views, PDF and ePub downloads, according to the available data) and Abstracts Views on Vision4Press platform.

Data correspond to usage on the plateform after 2015. The current usage metrics is available 48-96 hours after online publication and is updated daily on week days.

Initial download of the metrics may take a while.