Free Access

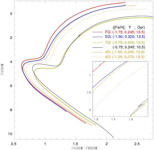
Fig. 6

thumbnail

As in Fig. 2, but for a massive PS after 13 Gyr. PGPUC isochrones represent the different populations presented for this PS: FG (red lines), SG (blue lines), TG (gold lines), and 4G (orange lines). In black lines represents a possible younger TG population. Inner panel is a zoom-in at the RGB bump. This figure is available in color in electronic form.

Current usage metrics show cumulative count of Article Views (full-text article views including HTML views, PDF and ePub downloads, according to the available data) and Abstracts Views on Vision4Press platform.

Data correspond to usage on the plateform after 2015. The current usage metrics is available 48-96 hours after online publication and is updated daily on week days.

Initial download of the metrics may take a while.