Free Access

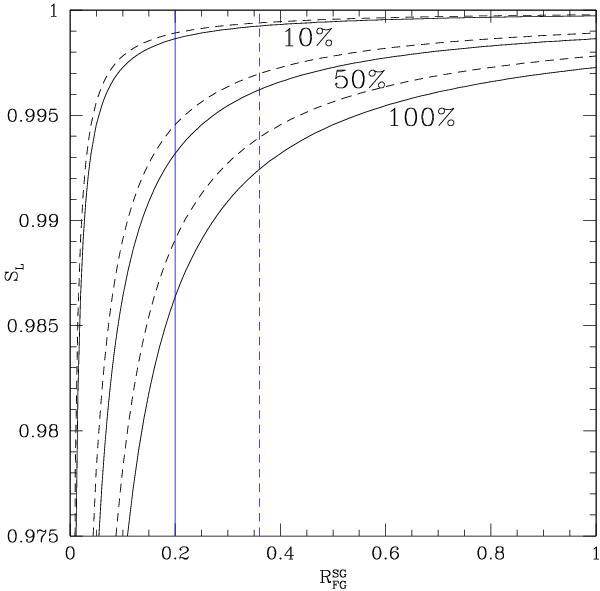
Fig. 8

thumbnail

Fraction of FG stars that an intermediate-mass PS must lose (SL) to reproduce the present-day ratio of the number of SG to FG stars. Black curves represent different mass fractions of gas ejected by massive FG stars in 3 Myr (values of fI in percentages) used to form the SG stars when ϵ is 40% and when  is negligible (solid lines) or 20% (dashed lines). The vertical lines represent the observed ratio of SG to FG stars () estimated from the number of red and blue MS stars (solid line, from Piotto et al. 2007) and from the O-Na anticorrelation (dashed line, from Carretta et al. 2009b), as observed in the case of NGC 2808.

Current usage metrics show cumulative count of Article Views (full-text article views including HTML views, PDF and ePub downloads, according to the available data) and Abstracts Views on Vision4Press platform.

Data correspond to usage on the plateform after 2015. The current usage metrics is available 48-96 hours after online publication and is updated daily on week days.

Initial download of the metrics may take a while.