Free Access

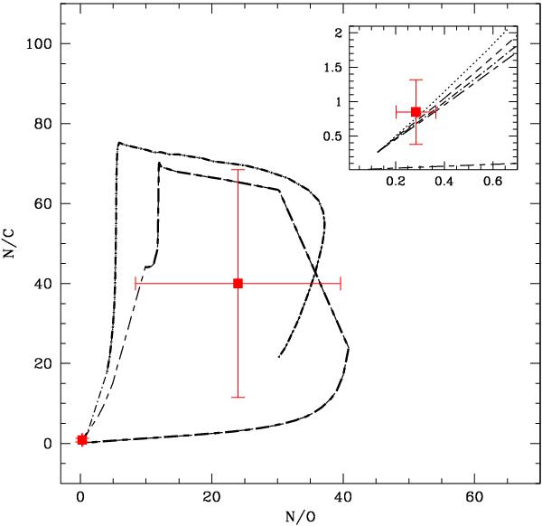
Fig. 9

thumbnail

N/C versus N/O for the components of LZ Cep (red squares). The inset zooms on the primary value. The evolutionary tracks are from Meynet & Maeder (2003). The dotted line (resp. dashed, dot-dashed, short-dash long-dashed lines) are tracks for a 15 M (resp. 20, 25, 40 M) star. The bold lines indicate the Wolf-Rayet phase of the evolution according to Meynet & Maeder (2003), i.e. X(H) < 0.4 and Teff  >  10 000 K.

Current usage metrics show cumulative count of Article Views (full-text article views including HTML views, PDF and ePub downloads, according to the available data) and Abstracts Views on Vision4Press platform.

Data correspond to usage on the plateform after 2015. The current usage metrics is available 48-96 hours after online publication and is updated daily on week days.

Initial download of the metrics may take a while.