Highlight
Free Access

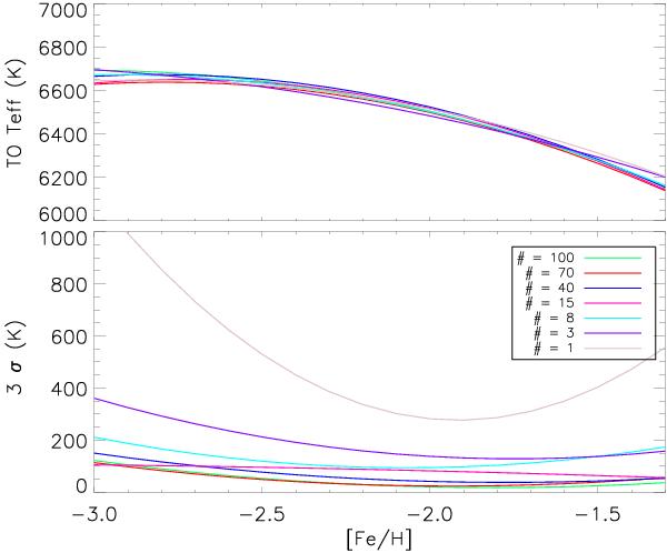
Fig. 4

thumbnail

Upper panel: TO-detection for samples with different number of stars. Lower panel: the bootstrap error in the TO-detection for each sample. The color lines correspond to different sizes used for the detection, with the number of stars (× 1000) indicated in the legend.

Current usage metrics show cumulative count of Article Views (full-text article views including HTML views, PDF and ePub downloads, according to the available data) and Abstracts Views on Vision4Press platform.

Data correspond to usage on the plateform after 2015. The current usage metrics is available 48-96 hours after online publication and is updated daily on week days.

Initial download of the metrics may take a while.