Highlight
Free Access

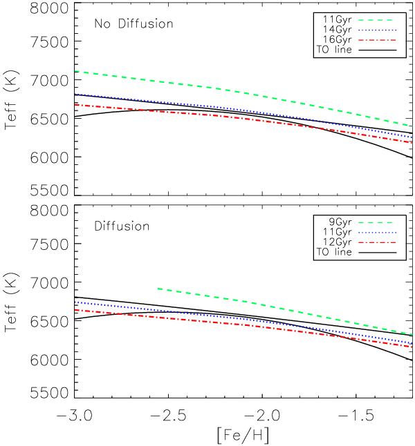
Fig. 8

thumbnail

Solid line: Turn-off temperature range as a function of metallicity of the G blue sample. Color lines: turn-off temperature and metallicity of GARSTEC isochrones. Upper panel: nodiff-isochrones of 11, 14, 16 Gyr reproduce the MSTO temperature of the field stars. Lower panel: diff-isochrones of 9, 11, 12 Gyr reproduce the MSTO temperature of the field.

Current usage metrics show cumulative count of Article Views (full-text article views including HTML views, PDF and ePub downloads, according to the available data) and Abstracts Views on Vision4Press platform.

Data correspond to usage on the plateform after 2015. The current usage metrics is available 48-96 hours after online publication and is updated daily on week days.

Initial download of the metrics may take a while.