Free Access

Fig. 13

thumbnail

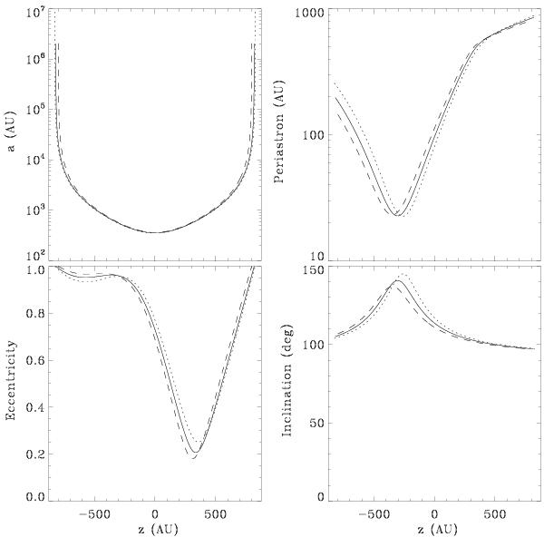
Semimajor axis, eccentricity, periastron, and inclination of the binary orbit as a function of the separation along the line of sight z for various RV differences between the components and masses of HD 132563Ab. Continuous line: RV difference –1.4 km s-1 and mass 0.45   M. Dotted line: RV difference –1.2 km s-1 and mass 0.20   M. Dashed line: RV difference –1.6 km s-1 and mass 0.70   M.

Current usage metrics show cumulative count of Article Views (full-text article views including HTML views, PDF and ePub downloads, according to the available data) and Abstracts Views on Vision4Press platform.

Data correspond to usage on the plateform after 2015. The current usage metrics is available 48-96 hours after online publication and is updated daily on week days.

Initial download of the metrics may take a while.