Press Release
Free Access

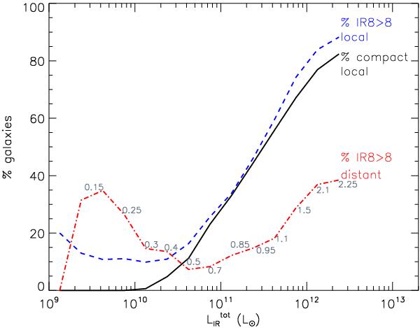
Fig. 15

thumbnail

Fractions of compact local galaxies (black line), local galaxies with IR8 > 8 (blue dashed line) and GOODS–Herschel galaxies with IR8 > 8 (red dash-dotted line) as a function of total IR luminosity. The median redshift of the GOODS-Herschel galaxies varies with , and is indicated by labels in grey along the red dash-dotted line.

Current usage metrics show cumulative count of Article Views (full-text article views including HTML views, PDF and ePub downloads, according to the available data) and Abstracts Views on Vision4Press platform.

Data correspond to usage on the plateform after 2015. The current usage metrics is available 48-96 hours after online publication and is updated daily on week days.

Initial download of the metrics may take a while.