Press Release
Free Access

Fig. 6

thumbnail

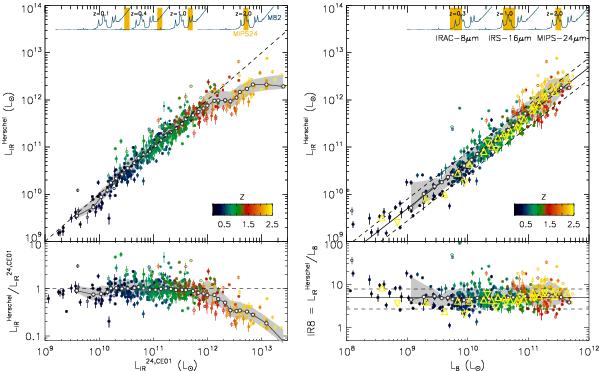
Left: comparison of (8–1000 μm) as directly measured from Herschel () with the value extrapolated from 24 μm () using the CE01 technique. Only “clean” galaxies are represented (as defined in Sect. 3.1). Galaxies with spectroscopic and photometric redshifts (from both GOODS–north and south) are marked with filled and open symbols respectively. Colors range from black (z ~ 0) to orange (z ~ 2.5), passing through green (z ~ 1) and red (z ~ 2). The wavelength range sampled by the MIPS-24 μm passband is shown in orange at the top of the figure where it is compared to the redshifted SED of M 82. The dashed line in the left-hand side panels is the one-to-one correlation. The sliding median and 16th and 84th percentiles of the distribution are shown with white dots connected with a solid line and grey zone respectively. The bottom panel shows the ratio of the actual over extrapolated total IR luminosity. Right: comparison of with L8 (rest-frame 8 μm broadband) for “clean” galaxies. The observed bandpasses used to estimate L8 are illustrated in the top of the figure and compared to the redshifted SED of M 82. The sliding scale of the median and 68% dispersion around it is shown with a grey zone which is fitted by the solid and dashed lines: IR8 = 4.9 [–2.2, +2.9]. Stacked measurements combined with detections weighted by number of objects per luminosity bin are represented by large yellow open triangles (GOODS–south: upside down, GOODS–north: upward). The bottom panel shows the IR8 (=/L8) ratio which is found to remain constant with luminosity and redshift.

This figure is made of several images, please see below:

Current usage metrics show cumulative count of Article Views (full-text article views including HTML views, PDF and ePub downloads, according to the available data) and Abstracts Views on Vision4Press platform.

Data correspond to usage on the plateform after 2015. The current usage metrics is available 48-96 hours after online publication and is updated daily on week days.

Initial download of the metrics may take a while.