Free Access

Fig. 1

thumbnail

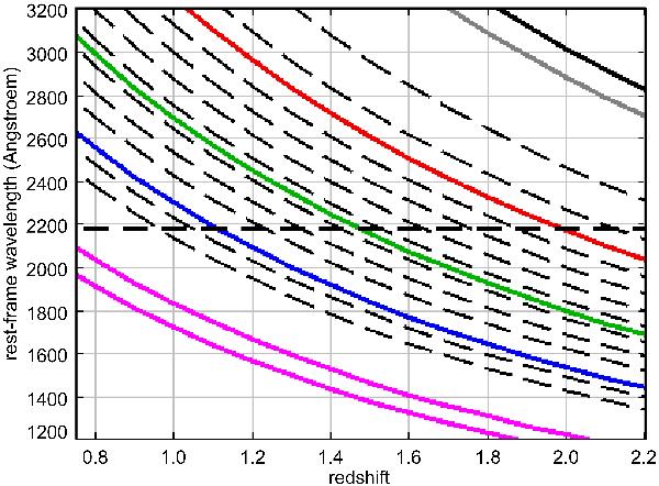
Rest frame ultraviolet wavelengths sampled with our dataset as a function of redshift. The solid curves correspond to broad band filters (from bottom left corner to top right corner: U, U38, B, V, R, I and z) and the dashed curves to intermediate-band filters (from bottom left corner to top right corner: IA-427, 445, 484, 505, 527, 550, 574, 598, 624, 651 (coincident with the red solid curve for the R-band), 679 and 738. The FWHM of the intermediate filters varies from 20 to 34 nm. The horizontal dotted line corresponds to 2175 Å, the central wavelength of the expected bump.

Current usage metrics show cumulative count of Article Views (full-text article views including HTML views, PDF and ePub downloads, according to the available data) and Abstracts Views on Vision4Press platform.

Data correspond to usage on the plateform after 2015. The current usage metrics is available 48-96 hours after online publication and is updated daily on week days.

Initial download of the metrics may take a while.