Free Access

Fig. 10

thumbnail

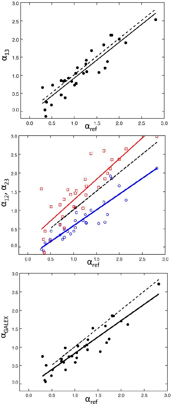
Various estimates of α compared to the reference value αref measured on the full SED, top: α13 versus αref; middle: α12 (blue empty circles) and α23 (red empty squares) versus αref; bottom: αGALEX calculated with the rest frame FUV and NUV fluxes versus αref. In each figure, the dashed lines represent the 1:1 line, the solid lines are the results of linear regressions.

This figure is made of several images, please see below:

Current usage metrics show cumulative count of Article Views (full-text article views including HTML views, PDF and ePub downloads, according to the available data) and Abstracts Views on Vision4Press platform.

Data correspond to usage on the plateform after 2015. The current usage metrics is available 48-96 hours after online publication and is updated daily on week days.

Initial download of the metrics may take a while.