Free Access

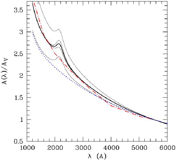
Fig. 7

thumbnail

Average dust attenuation curve. The mean curve found in this work is plotted as a thick line. The thin lines correspond to variations of  ± 1σ of the amplitude of the bump, Eb and the slope of the continuum δ; see text for details. The Calzetti et al. (2000) attenuation curve (dotted blue line) and the effective absorption curve of Charlot & Fall (2000) for a starburst age of 3 × 108 years (dot-dashed red line) are shown in the figure for comparison.

Current usage metrics show cumulative count of Article Views (full-text article views including HTML views, PDF and ePub downloads, according to the available data) and Abstracts Views on Vision4Press platform.

Data correspond to usage on the plateform after 2015. The current usage metrics is available 48-96 hours after online publication and is updated daily on week days.

Initial download of the metrics may take a while.