Free Access

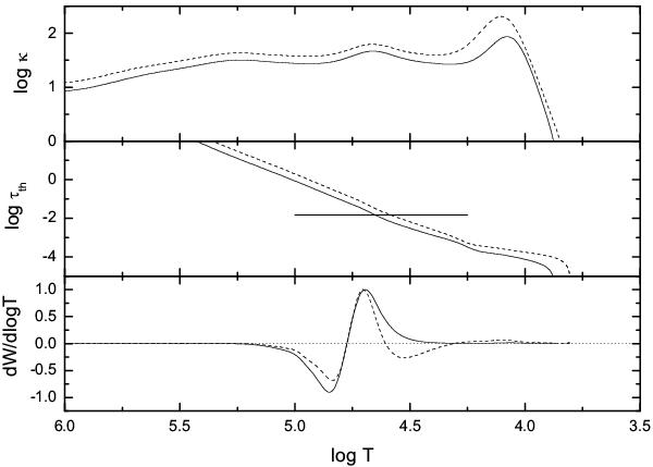
Fig. 10

thumbnail

Rosseland mean opacity, κ, thermal time scale, τth (in days) and differential work integral, dW/dlog T (in arbitrary units), for the dipole mode at 67.6 d-1. Model 1, in which this mode is damped, is shown with a dashed line, and Model 2, in which the mode is driven, by a solid line. The horizontal line in the middle panel depicts the period of the mode.

Current usage metrics show cumulative count of Article Views (full-text article views including HTML views, PDF and ePub downloads, according to the available data) and Abstracts Views on Vision4Press platform.

Data correspond to usage on the plateform after 2015. The current usage metrics is available 48-96 hours after online publication and is updated daily on week days.

Initial download of the metrics may take a while.