Free Access

Fig. 1

thumbnail

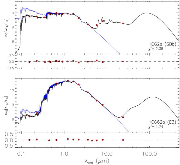
Example of best-fit models (in black line) to the observed spectral energy distributions (SEDs) of two galaxies of our sample. One is a typical late-type galaxy (HCG2a; top panel) and the second is a quiescent elliptical galaxy (HCG62a; bottom panel). In each panel, the blue line shows the unattenuated stellar spectrum estimated by the model. The red circles are the observed broadband luminosities with their errors as vertical bars. The residuals, , are shown at the bottom of each panel. Note the uncertainty in the far-IR shape of the SED due to lack of high spatial resolution data.

Current usage metrics show cumulative count of Article Views (full-text article views including HTML views, PDF and ePub downloads, according to the available data) and Abstracts Views on Vision4Press platform.

Data correspond to usage on the plateform after 2015. The current usage metrics is available 48-96 hours after online publication and is updated daily on week days.

Initial download of the metrics may take a while.