Free Access

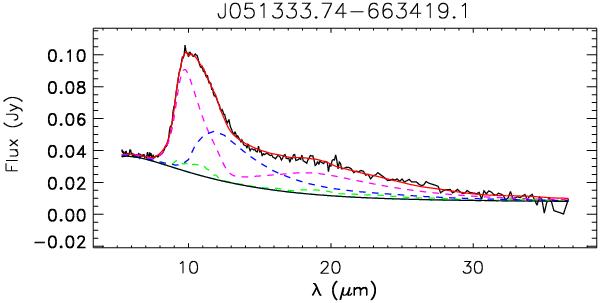
Fig. 9

thumbnail

The results of our modelling of J 05133.74, with the addition of alumina grains. The observed spectrum (black curve) is plotted together with the best model fit (red curve) and the continuum (black solid line). Crystalline silicates are plotted in green, amorphous silicates in magenta and alumina in blue.

Current usage metrics show cumulative count of Article Views (full-text article views including HTML views, PDF and ePub downloads, according to the available data) and Abstracts Views on Vision4Press platform.

Data correspond to usage on the plateform after 2015. The current usage metrics is available 48-96 hours after online publication and is updated daily on week days.

Initial download of the metrics may take a while.