Free Access

Fig. 2

thumbnail

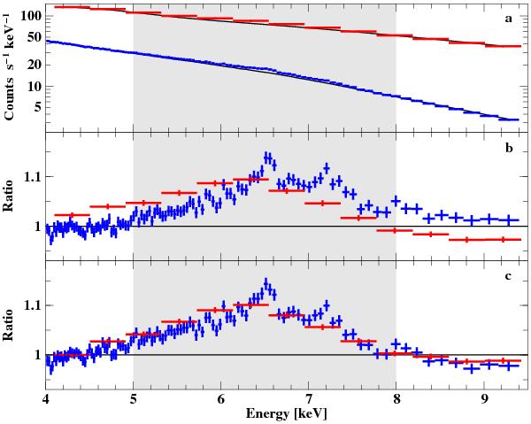
a) Fit of a simple power law to the 4.0–9.5 keV data, ignoring the 5.0–8.0 keV band (light gray area). b) A broad excess due to the broad line, is visible. Note the energy shift between the PCA and the EPIC-pn. c) Residuals after applying the gain shift correction.

Current usage metrics show cumulative count of Article Views (full-text article views including HTML views, PDF and ePub downloads, according to the available data) and Abstracts Views on Vision4Press platform.

Data correspond to usage on the plateform after 2015. The current usage metrics is available 48-96 hours after online publication and is updated daily on week days.

Initial download of the metrics may take a while.