Free Access

Fig. 4

thumbnail

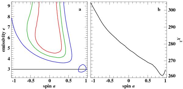
a) χ2 significance contours for the emissivity index, ϵ, and the spin, a. Contours are based on Δχ2 = 2.30, 4.61, and 9.21, i.e., 68%, 90%, and 99% confidence for two parameters of interest, with respect to the best fit case with ϵ let free. Two minima are apparent, one indicating a low-spin black hole at an unphysically large ϵ, and one indicating an almost maximally spinning black hole consistent with emission from a thin accretion disk (ϵ = 3). b) χ2 as a function of a for ϵ = 3.

Current usage metrics show cumulative count of Article Views (full-text article views including HTML views, PDF and ePub downloads, according to the available data) and Abstracts Views on Vision4Press platform.

Data correspond to usage on the plateform after 2015. The current usage metrics is available 48-96 hours after online publication and is updated daily on week days.

Initial download of the metrics may take a while.