Free Access

Fig. 15

thumbnail

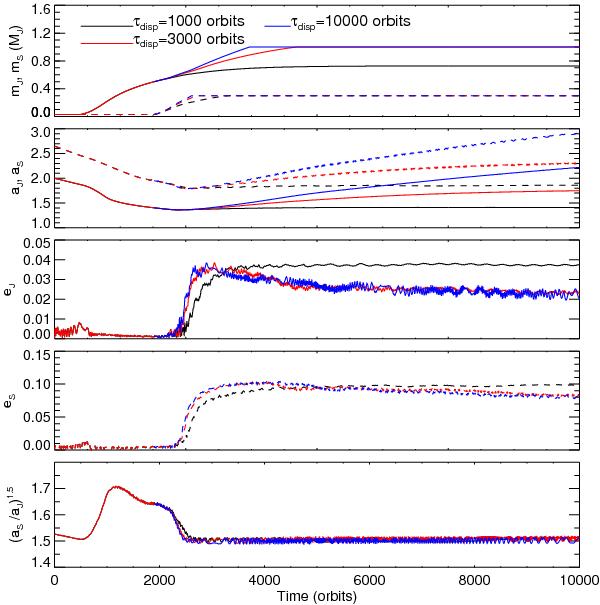
Upper (first) panel: the evolution of the planet masses for simulations in which gas disk dispersion is considered. Second panel: evolution of the semimajor axes. Third panel: evolution of Jupiter’s eccentricity. Fourth panel: evolution of Saturn’s eccentricity. Fifth panel: evolution of the period ratio.

Current usage metrics show cumulative count of Article Views (full-text article views including HTML views, PDF and ePub downloads, according to the available data) and Abstracts Views on Vision4Press platform.

Data correspond to usage on the plateform after 2015. The current usage metrics is available 48-96 hours after online publication and is updated daily on week days.

Initial download of the metrics may take a while.