Free Access

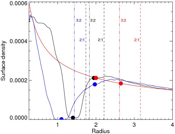
Fig. 4

thumbnail

The disk surface density profile for the three models I1 (black), I3 (red) and I4 (blue) before accretion onto Saturn’s core is switched on. Also displayed are the locations of the 2:1 resonance (dashed line) and 3:2 resonance (dot-dashed line) with Jupiter. The dots illustrate the positions of Jupiter and Saturn for the three models.

Current usage metrics show cumulative count of Article Views (full-text article views including HTML views, PDF and ePub downloads, according to the available data) and Abstracts Views on Vision4Press platform.

Data correspond to usage on the plateform after 2015. The current usage metrics is available 48-96 hours after online publication and is updated daily on week days.

Initial download of the metrics may take a while.