Free Access

Fig. 7

thumbnail

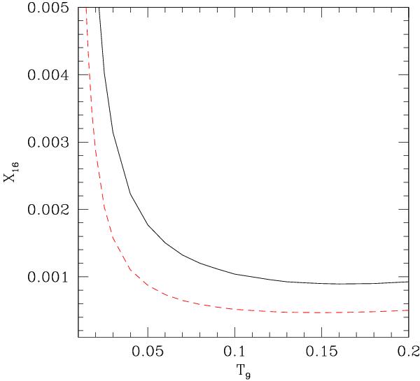
The 16O equilibrium abundance (mass fraction) as given by: . The solid and the dashed lines represents the old (NACRE) and the new (revised) prescriptions for the 15N(p, γ)16O reaction rate. A solar 15N mass fraction (X15), as derived by Asplund et al. (2010), has been used. In both cases, NACRE prescriptions for the  ⟨ σv ⟩ 16O + p have been adopted.

Current usage metrics show cumulative count of Article Views (full-text article views including HTML views, PDF and ePub downloads, according to the available data) and Abstracts Views on Vision4Press platform.

Data correspond to usage on the plateform after 2015. The current usage metrics is available 48-96 hours after online publication and is updated daily on week days.

Initial download of the metrics may take a while.